Shandong Yuanlian Chemical - Professional manufacturer of Sodium Polyaspartate (PASP). Eco-friendly, biodegradable polymer for detergent & cosmetic applications. CAS 181828-06-8. Available in liquid & powder forms
Shandong Yuanlian Chemical Co., Ltd.
Professional Manufacturer of Detergent & Cosmetic Grade Sodium Polyaspartate (PASP)
Chemical Name: Sodium Polyaspartate
CAS No.: 181828-06-8, 34345-47-6, 94525-01-6
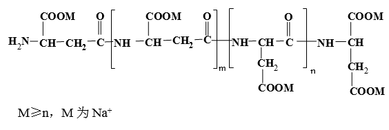
Molecular Formula: C₄H₅NO₃M(C₄H₄NO₃M)ₘ(C₄H₄NO₃M)ₙC₄H₄NO₃M₂
Molecular Weight: 6,000-8,000 or 10,000-20,000
Synonyms:
Sodium Polyaspartate, Sodium Salt of Polyaspartic Acid, PASP, PASP-Na, Polyaspartic Acid, Polyaspartic Acid Sodium Salt

Sodium Polyaspartate is a phosphorus-free, non-toxic, non-polluting, and fully biodegradable environmentally friendly chemical belonging to the class of polyamino acids. The peptide bonds in its main chain are easily broken down by fungi and microorganisms, ultimately degrading into environmentally harmless water and carbon dioxide, ensuring safety and reliability.
It exhibits high hydrophilicity and water solubility, forming a breathable protective film. Additionally, it offers efficient water-locking and moisturizing functions, enhancing skin hydration and providing a smooth, refreshed feel. It also replenishes skin nutrients, improves skin fullness and elasticity, and helps tighten the skin and reduce wrinkles.
| Parameter | PASP Liquid | PASP Light Yellow Powder | PASP White Powder |
|---|---|---|---|
| Appearance | Colorless or light yellow clear liquid | Light yellow powder | White powder |
| Solid Content /% | ≥ 25.0 | ≥ 95.0 | ≥ 95.0 |
| pH (1% Aqueous Solution) | 7.0-8.0 | 7.0-8.0 | 7.0-8.0 |
| Odor | Faint odor | Faint odor | Faint odor |
| Intrinsic Viscosity (30°C) / (dL/g) | [η] ≥ 0.10 | [η] = 0.06-0.08 | [η] ≥ 0.10 |
Household Care Products:
Laundry Detergent
Laundry Aid
Dishwasher Detergent
Multi-Purpose Cleaner
Bathroom Cleaner
Shower Cleaner
Glass Cleaner
Floor Cleaner, etc.
Function: Isolation, dispersion, and anti-scaling. Prevents spotting and film formation under any water hardness conditions, ensuring cleaned surfaces remain free of stains or streaks.
Personal Care and Cosmetics:
Facial Cream
Lotion
Essence
Foaming Hand Soap
Shower Gel
Shampoo, etc.
Function: Chelation, film formation, and lubrication. Improves skin texture, reduces friction for smoother application, and moisturizes the skin.
Liquid Products:
25 kg, 250 kg, or 1250 kg drums (customizable packaging based on user requirements)
Powder Products:
Kraft paper bags
Storage Conditions:
Store sealed in a cool, dark place indoors. Liquid products are recommended to be stored at or below room temperature.
PASP is alkaline. Use appropriate labor protection during operation to avoid contact with skin and eyes. In case of contact, rinse immediately with plenty of water.
Contact Us:
For more product information, technical data, or sample requests, please contact Shandong Yuanlian Chemical Co., Ltd.
Disclaimer:
Product
information is based on current knowledge and technical data and is
provided for reference only. Users should conduct tests to verify
suitability for specific applications and comply with relevant
regulations and standards.